Chemical Engineering
Heat and Mass Transfer - Forced and Natural Convection
Experiments
Aim
Theory
Pretest
Procedure
Simulation
Posttest
References
Contributors
Feedback
Aim
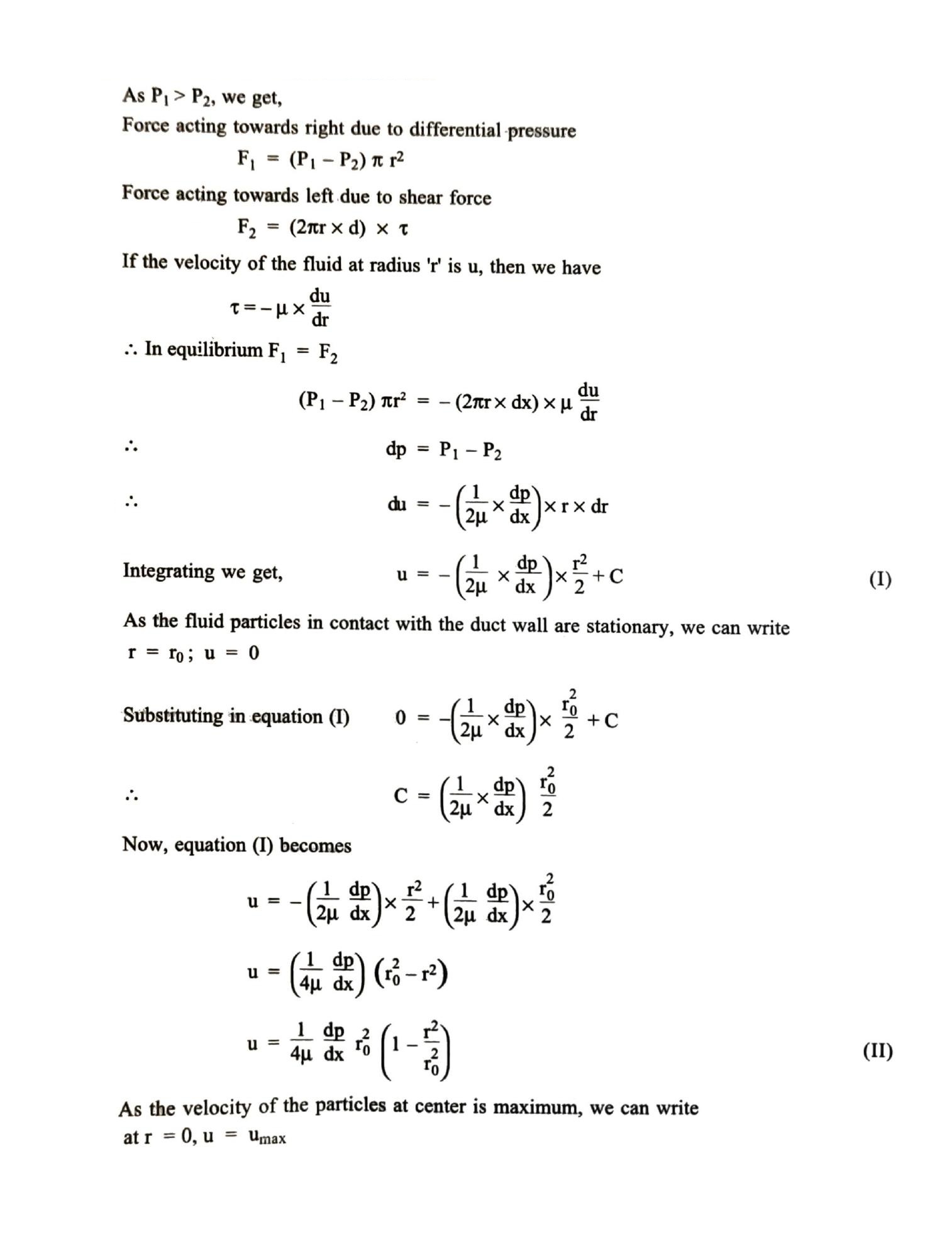
Theory
Pretest
Procedure
Simulation
Posttest
References
Contributors
Feedback
Fundamental of fluid flow